Назад

Олимпиадная задача по комбинаторике — распределение 15 человек на кома

Задача

а) Сколькими способами можно разбить 15 человек на три команды по пять человек в каждой?

б) Сколькими способами можно выбрать из 15 человек две команды по пять человек в каждой?

Решение

Решение задачи отсутствует

Ответ

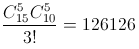
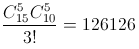
а)     способами;   б)     способами.

Чтобы оставлять комментарии, войдите или зарегистрируйтесь

Комментариев нет