Назад

Олимпиадная задача про команду гребцов и размещение в лодке

Задача

На каждом борту лодки должно сидеть по четыре человека. Сколькими способами можно выбрать команду для этой лодки, если есть 31 кандидат, причём десять человек хотят сидеть на левом борту лодки, двенадцать – на правом, а девяти безразлично где сидеть?

Решение

Решение задачи отсутствует

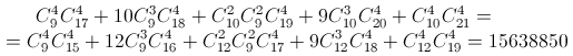
Ответ

 .

Чтобы оставлять комментарии, войдите или зарегистрируйтесь

Комментариев нет