Назад

Решите систему уравнений в олимпиадной задаче по математике

Задача

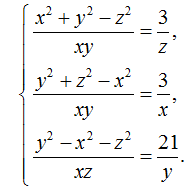
Решите систему уравнений: .

Решение

  Запишем первые два уравнения в виде  z²(x² + y2z²) = 3xyzx²(y² + z² – x²) = 3xyz.  После вычитания получим

z²y² – x²y2 + x4z4 = 0  ⇔  (z² – x2)(y2z² – x²) = 0  ⇔  y² – z² – x² = 0  или  x² = z².&nbsp Первый случай противоречит третьему уравнению системы.

  Итак,  z = ± x.  После подстановки в первые два уравнения, получим  y = ±3,  а третье уравнение примет вид  y(y² – 2x²) = ± 21x².  После подстановки значения y, получим  3(9 – 2x²) = 21x²  ⇔  x² = 1.

Ответ

(1, 3, 1),  (–1, 3, –1),  (1, –3, –1),  (–1, –3, 1).

Чтобы оставлять комментарии, войдите или зарегистрируйтесь

Комментариев нет