Назад

Задание олимпиады по многочленам и почти квадратам

Задача

Назовём натуральное число почти квадратом, если оно равно произведению двух последовательных натуральных чисел.

Докажите, что каждый почти квадрат можно представить в виде частного двух почти квадратов.

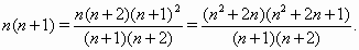
Решение

  В числителе и знаменателе последней дроби, очевидно, также стоят почти квадраты.

Ответ

Ответ задачи отсутствует

Чтобы оставлять комментарии, войдите или зарегистрируйтесь

Комментариев нет