Назад

Математическая задача о законах и министрах в Анчурии

Задача

В Анчурии всего K законов и N министров. Вероятность того, что случайно взятый министр знает случайно выбранный закон, равна p. Однажды министры собрались на совет, чтобы написать Концепцию. Если хотя бы один министр знает закон, то этот закон будет учтён в Концепции, в противном случае этот закон в Концепции учтён не будет. Найдите:

  а) Вероятность того, что ровно M законов будут учтены в Концепции.

  б) Математическое ожидание числа учтённых законов.

Решение

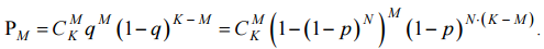
  а) Вероятность того, что ни один министр не знает первого закона равна  (1 – p)N.  Значит, вероятность того, что первый закон будет учтён, равна

q = 1 – (1 – p)N.

  Вероятность того, что ровно M каких-то законов из K имеющихся, будут учтены в Концепции легко найти по формуле биномиальной вероятности:     б) Введём индикатор – случайную величину Ik, которая равна 1, если закон с номером k учтён и 0 в противном случае.  EIk = 1 – (1 – p)N.

  Количество учтённых законов X равно сумме этих величин:  X = I1 + I2 + ... + IK.  Поэтому  EX = EI1 + EI2 + ... + EIK = K(1 – (1 – p)N).

Ответ

а)   ;   б)  K(1 – (1 – p)N).

Чтобы оставлять комментарии, войдите или зарегистрируйтесь

Комментариев нет