Доказательство неравенства с корнями и суммой дробей. Олимпиадная зада
Задача
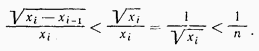
Если
Решение
Предположим сначала, что xn≤n2. Тогда

. Следовательно, сумма всех таких слагаемых (их не более чем n )
меньше1. Но сумма остальных слагаемых, как уже было показано выше, меньше
+
+ ... +
, что и завершает доказательство исходного неравенства.
Ответ
Ответ задачи отсутствует
Чтобы оставлять комментарии, войдите или зарегистрируйтесь
Комментариев нет