Задача
Числа 1, 2, ..., k² расположены в квадратную таблицу

Решение
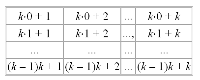
Запишем данную таблицу в виде

Ответ
½ k(k² + 1)).
Чтобы оставлять комментарии, войдите или зарегистрируйтесь
Комментариев нет
Числа 1, 2, ..., k² расположены в квадратную таблицу

Запишем данную таблицу в виде

½ k(k² + 1)).
Чтобы оставлять комментарии, войдите или зарегистрируйтесь