Назад

Система уравнений с параметром k: олимпиадная задача по алгебре для 11

Задача

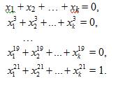
Рассматривается система уравнений:

Докажите, что при некоторых k такая система имеет решение.

Решение

  Рассмотрим сначала систему уравнений   .   Будем искать решение этой системы в следующем частном виде:

x1 = x2 = λ,  x3 = μ.  Для λ и μ мы получаем уравнения  2λ + μ = 0,  λ3 + μ3 = 1,  откуда находим  μ = – 2λ  и  – 6λ3 = 1.

  Рассмотрим затем систему уравнений  .  Пусть  u = (t1, t2, t3)  – решение предыдущей системы. Будем искать решение новой системы в следующем виде:  (x1, x2, x3) = (x4, x5, x6) = λu,  (x7, x8, x9) = μu.  Первое уравнение выполняется автоматически, а следующие два уравнения выполняются тогда и только тогда, когда  2λ3 + μ3 = 0  и  2λ5 + μ5 = 1,  то есть  μ = – λ  и  λ5(2 – ) = 1.

  Дальше мы поступаем аналогично: каждый раз добавляем одно уравнение и утраиваем число переменных. При этом для λ и μ получаем соотношения

μ = – λ  и  λ2k+1(2 – ) = 1.

Ответ

Ответ задачи отсутствует

Чтобы оставлять комментарии, войдите или зарегистрируйтесь

Комментариев нет