Математическая задача: целая часть суммы для особой рекуррентной после
Задача
Последовательность чисел x1, x2, ... такова, что x1 = ½ и
для всякого натурального k.
Найдите целую часть суммы 
Решение
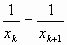
Заметим, что
=
, то есть
=
. Отсюда
=
=
= 2 –
.
Последовательность возрастает, поэтому x101 > x3 > 1, следовательно, целая часть искомой суммы равна 1.
Ответ
Чтобы оставлять комментарии, войдите или зарегистрируйтесь
Комментариев нет