Назад

Олимпиадная задача Алексеев В.Б.: количество корней показательного уравнения с параметром (10-11 класс)

Задача

Значение a подобрано так, что число корней первого из уравнений  4x – 4x = 2 cos ax,  4x + 4x = 2 cos ax + 4  равно 2007.

Сколько корней при том же a имеет второе уравнение?

Решение

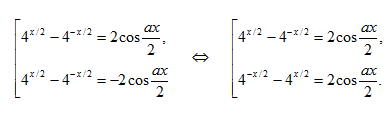
  Преобразуем второе уравнение: 4x+ 4x= 2 cosax+ 4   ⇔   4x– 2 + 4x= 2(1 + cosax) ⇔ (2x– 2x)2= 4cos2 ax/2)   ⇔   Оба уравнения этой совокупности сводятся к первому уравнению из условия задачи заменами  x= 2y  и  x= – 2z  соответственно. Поэтому каждое из этих двух уравнений имеет 2007 корней. Если эти уравнения имеют общий корень  x = x0,  то  4x0/2– 4x0/2= 0  и  cosax0/2= 0,  что невозможно. Следовательно, эти уравнения не имеют общих корней, а второе уравнение из условия имеет  2·2007 = 4014  корней.

Ответ

Чтобы оставлять комментарии, войдите или зарегистрируйтесь

Комментариев нет