Олимпиадная задача: доказательство равенства для пересечения прямой и параболы y = x²
Задача
Прямая пересекает график функции y = x² в точках
с абсциссами x1 и x2, а ось абсцисс –
в точке с абсциссой x3. Докажите, что
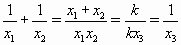
.
Решение
Первый способ. Уравнение данной прямой имеет вид y = k(x – x3). Из условия следует, что x1 и x2 – корни уравнения x² = k(x – x3) или
x² – kx + kx3 = 0. По теореме Виета
. Второй способ. Рассмотрим точки
(см. рис.).

.
Преобразуем:
. Так как x1≠x2, то x1x2=x3(x1+x2), что равносильно доказываемому равенству.
Ответ
Ответ задачи отсутствует
Чтобы оставлять комментарии, войдите или зарегистрируйтесь
Комментариев нет