Назад

Олимпиадная задача по стереометрии для 10-11 класса о шаре и параллелепипеде

Задача

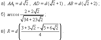
В прямоугольном параллелепипеде ABCDA1B1C1D1 четыре числа – длины рёбер и диагонали AC1 – образуют арифметическую прогрессию с положительной разностью d, причём AA1 < AD < AB. Две внешне касающиеся друг друга сферы одинакового неизвестного радиуса R расположены так, что их центры лежат внутри параллелепипеда, причём первая сфера касается граней ABB1A1, ADD1A1, ABCD, а вторая – граней BCC1B1, CDD1C1, A1B1C1D1. Найдите: а) длины рёбер параллелепипеда; б) угол между прямыми CD1 и AC1; в) радиус R.

Решение

Решение задачи отсутствует

Ответ

Чтобы оставлять комментарии, войдите или зарегистрируйтесь

Комментариев нет