Назад

Квадраты натуральных чисел: олимпиадная задача

Задача

Докажите, что для любого натурального n найдётся натуральное число, десятичная запись квадрата которого начинается n единицами, а заканчивается какой-то комбинацией из n единиц и двоек.

Решение

  Положим  m1 = 1  и построим по индукции такие числа mn, что десятичная запись mn оканчивается на единицу, а десятичная запись числа оканчивается на комбинацию из n единиц и двоек.

  Пусть число mn уже построено. Рассмотрим числа вида  pk = mn + k·10n,  где  a = 0, 1, 2, ..., 9.  Десятичная запись каждого из них оканчивается на 1. Кроме того,    Посмотрим на последние  n + 1  цифр десятичной записи каждого из слагаемых этой суммы.

  Запись числа оканчивается на комбинацию из n единиц и двоек. Обозначим через a  (n+1)-ю с конца цифру числа . Нетрудно видеть, что десятичная запись 2kmn·10n оканчивается на n нулей, перед которыми идет последняя цифра числа 2k (так как mn оканчивается на единицу). Десятичная же запись слагаемого k²·102n оканчивается на 2n нулей. Следовательно, последние k цифр десятичной записи чисел    совпадают с последними n цифрами десятичной записи числа . При этом (n+1)-я с конца цифра числа    совпадает с последней цифрой суммы  a + 2k.  Если a нечётно, то для некоторого k сумма a + 2k оканчивается на единицу. Если a чётно, то для некоторого k сумма  a + 2k  оканчивается на двойку. Следовательно, одно из чисел pk можно взять в качестве числа mn+1.

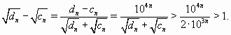
  Пусть  cn = 1...1·104n,  где первый множитель записывается n единицами, и  dn = cn + 104n.  Тогда    Следовательно, найдётся такое натуральное число qn, которое не меньше  ,  но меньше  .  Десятичная запись квадрата такого числа начинается на n единиц.

  Рассмотрим число  qn·10l + mn,  где l больше количества цифр в десятичных записях чисел 2pnmn и . Тогда первые n цифр десятичной записи числа     совпадают с первыми n цифрами десятичной записи числа    а последние n цифр – с последними цифрами десятичной записи числа . Следовательно, число  qn·10l + mn  удовлетворяет условию задачи.

Ответ

Ответ задачи отсутствует

Чтобы оставлять комментарии, войдите или зарегистрируйтесь

Комментариев нет