Назад

Решение системы уравнений: олимпиадная задача

Задача

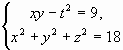
Решите систему уравнений:   .

Решение

  Первый способ. xy = 9 + t² ≥ 9  и  x² + y² = 18 – z² ≤ 18.  Следовательно,  18 ≥ x² + y² ≥ 2xy ≥ 18.  Значит, все знаки неравенства должны обратиться в знаки равенства, то есть  x² + y² = 2xy = 18,  поэтому  x = y = ±3.

  Из первого уравнения системы и условия  xy = 9  следует, что  t = 0,  а из второго уравнения и условия  x² + y² = 18  следует, что  z = 0.   Второй способ. (x – y)² = x² + y² – 2xy = (18 – z²) – (9 + t²) = – z² – 2t².

  Так как левая часть принимает только неотрицательные значения, а правая – только неположительные, то равенство возможно тогда и только тогда, когда  х = y  и  t = z = 0.  Подставив этот результат в любое из уравнений системы, получим, что  x = y = ±3.  Затем подстановкой полученных значений в другое уравнение убеждаемся, что они являются и его решением.

Ответ

(3, 3, 0, 0),  (–3, –3, 0, 0).

Чтобы оставлять комментарии, войдите или зарегистрируйтесь

Комментариев нет