Тригонометрические и геометрические равенства — олимпиадная задача (9–
Задача
Докажите следующие равенства: а) 
б) 
в) 
Решение
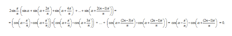
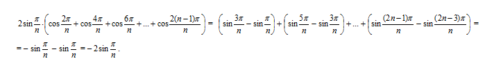
Решение 1:а) См. в). б)
Следовательно, выражение в скобках равно –1.в) 
Решение 2:Возьмём правильный n-угольник, вписанный в окружность радиуса 1 с центром в начале координат O. Повернём его так, чтобы одна его вершина попала в точку (1, 0). Сумма векторов, идущих из точки O в вершины этого n-угольника, равна нулю (см. задачу 155373 а). Рассмотрев суммы проекций этих векторов на оси x и y, получим равенства а) и б). Если же этот n-угольник повернуть на угол α,
то получим равенство в).
Решение 3: Положим
Тогда 
Сумма а) – это мнимая часть найденной суммы, а сумма б) – ее действительная часть минус единица (это следует из формулы Муавра). Сумма в) – мнимая часть суммы w(1 + z + z2 + ... + zn–1), где w = cos α + i sin α.
Ответ
Ответ задачи отсутствует
Чтобы оставлять комментарии, войдите или зарегистрируйтесь