Назад

Олимпиадная задача по тригонометрии для 9 и 10 класса: решение системы уравнений

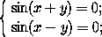
Задача

Найти все решения системы уравнений

удовлетворяющие условиям0 xπ,;; 0 yπ .

Решение

Из первого уравнения получим x+y=kπ . Из второго уравнения x-y=k1π . Отсюда x=((k+k1)π)/2, y=((k-k1)π)/2.

Поскольку нам необходимо выбрать значения для x и y в пределах от 0 до π , то

Из этой системы неравенств находим возможные значения k и k1 . k может иметь значения0,1,2. При k=0, k1 может иметь значение 0; при k=1, k1=-1,0,1, при k=2, k1=0.

Ответ

(0,0), (0), (π/2,π/2), (π,0),(π,π).

Чтобы оставлять комментарии, войдите или зарегистрируйтесь

Комментариев нет