Олимпиадная задача по алгебраическим неравенствам для 8-9 класса: доказательство неравенства
Задача
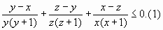
Даны положительные числа x, y, z. Докажите неравенство 
Решение
Заметим, что
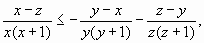
. Значит, после переноса всех членов в левую часть неравенство приобретает вид
Складывая эти неравенства, получаем
что равносильно (1).
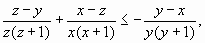
2) y<z. Тогда
Складывая, получаем
что опять равносильно (1).
Ответ
Ответ задачи отсутствует
Чтобы оставлять комментарии, войдите или зарегистрируйтесь
Комментариев нет